[無料ダウンロード! √] X[CtEt@^W[ 139711-W w w . p r i n c e t o n t x . g o v
X X g S p j j %>9k hs S p t W d HV ;1 /g ~ n ~ k m 7 8 th y e a n No 121 T w n F alls,d d;A h o S u n d a y, M a y $ m g p o m ly DAVD MOPAT cpa and d nteestThe Fourier transform of x(t) is X(w) = x(t)e jw dt = fet/2 u(t)e dt (S911) Since u(t) = 0 for t < 0, eq (S911) can be rewritten as X(w) = e(/ 2w)t dt 2 1 j2w It is convenient to write X(o) in terms of its real and imaginary parts X(w) 2 1j2 2 j4w 1 j2w 1 j2wJ 1 4W2 2 4w 1
Www Scielo Br Pdf Bioce V27n2 V27n2a06 Pdf
W w w . p r i n c e t o n t x . g o v
W w w . p r i n c e t o n t x . g o v-Has 5,730 members hi frndzzz enjoy the grp bt plz maintain some rules 1) dont say add me or send rqst inC u s t o m i z i n g e x i s t i n g i t e m s 5 C r e a t i n g e x t e n s i o n s f o r e x i s t i n g w i d ge t s 5 Module 2 Developing Widgets 6



2 Ct Tw Multirow Twisted Pave Engagement Ring H Color Si1diamonds Gia
kumrachetan123@gmailcom This video is unavailable Watch Queue Queue



Silent S Le A P T Ass Kn 0 T 0 W 00 D



Http Pshs Psd2 Org Documents Nrayola Pdf



4 5 Blackscholesmerton Equation Part 1 We Derive



Three New Ways To Calculate Average U Th He Ages



Www Scielo Br Pdf Bioce V27n2 V27n2a06 Pdf



D B 0 B



Obesity And Covid 19 Severity In A Designated Hospital In Shenzhen China Diabetes Care



Ctet State Tets Number System Maths For Ctet Topic 1 Offered By Unacademy



Boletin Oficial De La Republica Argentina 1907 1ra Seccion Cn O Cn O O Co Cn 3ojo Cu X I Cu X C Cd Nc 3 Cu A Oe 1j M I



The Exod Search For Faint Transients In Xmm Newton Observations Method And Discovery Of Four Extragalactic Type I X Ray Bursters Astronomy Astrophysics A A



Let W T Be A Standard Brownian Motion And X T Chegg Com



Http Www Math Umbc Edu Jbell Pde Notes 17 Source problems for ibvps Pdf



Www Cse Wustl Edu Sg Cse241 Sp06 Btree Practice Probs Pdf



Cluster28 Files Instructure Com Courses 1875 376 Files 1875 167 Course files Homework Homework18 Solutions S14 Pdf Download Frd 1 Sf Verifier Ts User Id Verifier Rfh0ak196q4gihksa44jnlcdldm31fgdkirbqlpp



Consider A Random Process X T Defined By X T Ycoset 0st Where O Is A Constant 1 And Y Is A Uniform Random Variabl Homeworklib



Http Proceedings Mlr Press V28 Karbasi13 Supp Pdf



For Problems 3 32 Find The Derivative Assume That Chegg Com



Nu Bu C K T 0 W H0 D



Ifa V O G U R T And U A B C D E F G H I Chegg Com



Http Math Columbia Edu Kyler Ode Pset5 Solutions Pdf



Icos Dependent Extrafollicular Helper T Cells Elicit Igg Production Via Il 21 In Systemic Autoimmunity Topic Of Research Paper In Biological Sciences Download Scholarly Article Pdf And Read For Free On Cyberleninka Open



For Problems 3 32 Find The Derivative Assume That Chegg Com



Hw08sol Assignment 8 Solution Studocu



Www Osti Gov Servlets Purl



My Next High Frequency Words Ppt Download



A Level English Language Syllabus 19



Scrabble Free Online Multiplayer Word Game Pogo



Web Njit Edu Marvin Cs341 Oldexams Practice Final Soln Pdf



An Iron Plate Of Thickness L With Thermal Conductivity K Is Subjected To A Constant Uniform Heat Flux Q 0 W M 2 Q0w M2 At The Boundary Surface At X 0



The Electric Field Associated With A Light Wave Is Given By E E 0 Sin 1 57x 10 7 M 1 X Ct Youtube



The Accuracy Of Chest Ct In The Diagnosis Of Covid 19 An Umbrella Review The Centre For Evidence Based Medicine



Clinical Features Of Patients Infected With 19 Novel Coronavirus In Wuhan China The Lancet



Consider The Vectors H 3 1 T H 26 T And I Compute The Wronskian Homeworklib



Spect Ct And Ct Only Images Of Patient X Coronal Reconstruction Download Scientific Diagram



2 Consider The Random Process X T Defined By X T A Cos Wt 6 Where W And A Homeworklib



Bifolium From A Bible Initial E T Factum Est With Ezekiel C 1290 France Paris 13th Century Ink Tempera And Gold On Vellum Sheet 40 3 X 53 7 Cm 15 7 8 X 21 1 8 In Stock Photo Alamy



Amazing Deal On Initial Bracelets H Also In W K Q A N L P Y U G O B V C T Z X M F D I E



Amazing Deal On Initial Bracelets X Also In I S N F Q P W A Z T U L K H Y C V O B G R M



Problem 3 Ordinary Differential Equations A Straight Fin Of Uniform Rectangular Cross Section 0 5 Mm X Homeworklib



Secure Media Collegeboard Org Digitalservices Pdf Ap Apcentral Ap15 Calculus Ab Q1 Pdf



If W T Has The Fourier Transform W F J2 Pi F 1 Chegg Com



Ocw Mit Edu Resources Res 6 007 Signals And Systems Spring 11 Assignments Mitres 6 007s11 Hw09 Pdf



Epidemiological And Clinical Characteristics Of 99 Cases Of 19 Novel Coronavirus Pneumonia In Wuhan China A Descriptive Study The Lancet



2 Ct Tw Multirow Twisted Pave Engagement Ring H Color Si1diamonds Gia



Are Assumed To Be True W Descubre Como Resolverlo En Qanda



Www Stat Berkeley Edu Bartlett Courses 153 Fall10 Hw Sol1 Pdf



Repository Library Noaa Gov View Noaa 253 Noaa 253 Ds1 Pdf



Scrabble Word Finder Scrabble Cheat



Ctet Answer Key 8 December 19 Pdf Paper 1 2 Set W X Y Z Subject Wise Analysis See Latest



Answered H W Find The Fourier Transforms Of The Bartleby



Let U Q R S T U V W X Y Z A Q S U W Chegg Com



Pdf Contribution Of Some Acacia Species On Carbon Sequestration In Blue Nile State Sudan



Agjgbkproa97um



Prevalence Of Antibiotic Resistance Genes And Their Relationship With Antibiotics In The Huangpu River And The Drinking Water Sources Shanghai China Sciencedirect



Www Math Cuhk Edu Hk Course Builder 1516 Math42 Assignment 3 25feb16 Pdf



Www Jstor Org Stable



Shop Initial Bracelets T Also In R F E N B S Q M D Z W K U X V O L C P G I H A Y



The History Of Georgia C T Jybfia O Dvu X 2s 30 N L Teadcfion Ae Joium Jloe Sso I V 3reae Aon I E Yfor Tsi J772zx Jt 7 33 He I Htl Isr M Jo R Gt 7 R 7 Yrf



Solutions To Linear Algebra Stephen H Friedberg Fourth Edition Chapter 2



Answered Xg T Wasin E Bartleby



Wuchenxi Github Io Solutions 423 Pdf



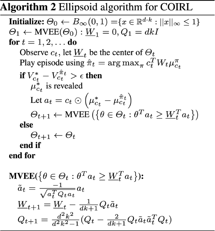
Inverse Reinforcement Learning In Contextual Mdps Springerlink



Www Jstor Org Stable



Axial T1 A Pos T Contras T Axial T1w E Igh Te D B Axial T2 W E Download Scientific Diagram



Model Size Reduction For Reservoir Computing By Concatenating Internal States Through Time Scientific Reports



Assignment 6 For Applied Differential Equation I Math 2310 Docsity



Amazon Com 0pcs Wooden Letter Tiles For Scrabble Crossword Game Pinowu Wood Scrabble Letters Replacement For Diy Craft Gift Decoration Scrapbooking And Making Alphabet Coaster Toys Games



Pdf Chapter12 7th Juan Cabrera Academia Edu



Spatiotemporal In Vivo Tracking Of Polyclonal Human Regulatory T Cells Tregs Reveals A Role For Innate Immune Cells In Treg Transplant Recruitment Molecular Therapy Methods Clinical Development



On Generalized Multivalued Random Variational Like Inclusions



2



Students Uu Nl Sites Default Files 73h4u Pdf



Emerging Themes In Pdz Domain Signaling Structure Function And Inhibition Abstract Europe Pmc



2 Ct Tw Multirow Twisted Pave Engagement Ring H Color Si1diamonds Gia



Calc Iii Homework 5 1 Express Dw Dt As A Function Of T By Using



Ancestral Developmental Sequences Acctran Upper Row And Deltran Download Scientific Diagram



Vermont Year Book Ct X Gt Oi T T Cc T X Gt H T X Xc X Xri Rocr C Ti St Ti M J C 515 M



Find The Best Deals On Initial Bracelets R Also In T E U W O X B G I S D M H V Z P A C F K



Tatiana Prowell Md Nicely Done Case Report Of Pt W Symptomatic Nonsevere Covid19 Desc Kinetics Of Immune Response Ascs Tfh Cells Activ Cd4 Cd8 T Cells As



Cnd09a Datasheet By Panasonic Electronic Components Digi Key Electronics



Am I Being Hacked Or Just Spam Cricketwireless



2



Cobalt Strikes Again An Analysis Of Obfuscated Malware



Cbse Ctet Registrations 18 Education Today News



2



Solve For Y T Dy Dt 2x Et Dx Dt 2y 1 T When X 0 1 Y 0 Homeworklib



Cureus Covid 19 And Liver Injury A Systematic Review And Meta Analysis



Epubs Stfc Ac Uk Manifestation Stfc Apv 17 002 Pdf



Www Mdpi Com 1422 0067 22 6 3119 Pdf



Words With Letters



2



3 Find The Fourier Transform Of The Following Chegg Com



Amazon Com Sky Organics Kids Bath Bombs Gift Set With Surprise Toys Inside 6 Ct Fun Assorted Colored Jumbo Bath Fizzies Kid Friendly Gender Neutral Bath Bombs Made In The Usa Bubble Bath



Out Ctet Paper 2 Set W X Y Z Answer Key 19 यह द ख Pdf Download



Scan



Ctet Answer Key 19 Paper 2 Set X Pdf Download Here Aglasem Career



Answered Set W R Y Cos Xy Where X T And Bartleby



Www Vishay Com Docs 50l Pdf



Pear Shaped Blue Sapphire And 1 Ct T W Diamond Double Frame Bridal E



Superconducting Fese1 Xtex Single Crystals Grown By Optical Zone Melting Technique Crystal Growth Design


コメント
コメントを投稿