√無料でダウンロード! hCc3íÔ 638912
Automotive gasoline and aviation kerosene, the two leading liquid fuels refined from crude oil, have a H C ratio of 18 and pure methane has a H C ratio of 40;The limiting reagent row will be highlighted in pink Examples of complete chemical equations to balance Fe Cl 2 = FeCl 3 KMnO 4 HCl = KCl MnCl 2 H 2 O Cl 2 K 4 Fe (CN) 6 H 2 SO 4 H 2 O = K 2 SO 4 FeSO 4 (NH 4) 2 SO 4 CO C 6 H 5 COOH O 2 = CO 2 H 2 OHb0503c3 Page 5 of 9 F L O R I D A H O U S E O F R E P R E S E N T A T I V E S 101 (c) Such right to deduction, unless revoked under pursuant 102 to s , is shall be in force for so long as the employee 103 organization remains the certified bargaining agent for
Solutions Levenspiel
hCc3íÔ
hCc3íÔ-Choose the site nearest you bakersfield chico fresno / madera gold country hanfordcorcoran humboldt county imperial county inland empire riverside and san bernardino countiesIn this case, DBE =1 Thus we can form either 1 cyclic ring in the compound or 1 unsaturation (can be b/w C=C or C=O) Draw all C=O structures Those can be aldehyde or ketone Thus we get 2 structures, Propanal and Propanone Draw all C=C structures These may include unsaturated alcohols and ether 3 Alcohol structures and 1 ether structure



2
The molecular formula C3H8O may refer to Methoxyethane (Ethyl methyl ether), CH 3 OCH 2 CH 3, CAS number Propanols Isopropyl alcohol (isopropanol, 2propanol), CH 3 CHOHCH 3, CAS number 1Propanol ( n propanol, n propyl alcohol), CH 3 CH 2 CH 2 OH, CAS number Index of chemical compounds with the sameO From Wikipedia, the free encyclopedia Jump to navigation Jump to search The molecular formula C3H6O may refer to Chemistry portal Alcohols Allyl alcohol or 2propen1ol, CH 2 =CHCH 2 OH, CAS number cyclopropanol or cyclopropyl alcohol, cyclo (CH 2 CH 2 HOHC), CAS number AldehydesComplement component 3 (C3) Complement C3 is a blood test that measures the activity of a certain protein This protein is part of the complement system The complement system is a group of nearly 60 proteins that are in blood plasma or on the surface of some cells The proteins work with your immune system and play a role to protect the body
I count 11 isomers of "C"_3"H"_6"O" > They are Prop2en1ol (from commonswikimediaorg) Methoxyethene Propanone (from wwwmeritnationcom) And its tautomer, Prop1en2ol Propanal (from commonswikimediaorg) And its two tautomeric isomers (Z)Prop1en1ol and (E)Prop1en1ol Then we have Cyclopropanol Oxetane (R)Methyloxirane (S)Background and objectives The term C3 glomerulopathy describes renal disorders characterized by the presence of glomerular deposits composed of C3 in the absence of significant amounts of Ig On the basis of electron microscopy appearance, subsets of C3 glomerulopathy include dense deposit disease (DDD) and C3 glomerulonephritis (C3GN)• R E L AT I ONS H I P S • R I G O R • R E L E VA N C E • R E L AT I ONS H I P S • R I G O R C3, C4, C5, P1, P2, P4, R1, R4) ART D I K 1 Explore basic locomotor movements;
The isomers for the molecular formula C 3 H 8 O include methoxyethane, propan1ol and propan2ol Each isomer is obtained by arranging the atoms in the C 3 H 8 O molecular formula into a different structural formula The first isomer, methoxyethane, is an ether, and the other two isomers are alcoholsActual ratio for natural gases is marginally lower due to the presence of higher homologs, ethane (C2H6) and propane (C3H8), besides methane Twitter Twitter Anne Marie Helmenstine, PhD Updated This is a list of organic compound names and formulas with names starting with the letter C C60 fullerene C 60 Cacodylic acid C 2 H 7 AsO 2 Cacotheline C 21 H 21 N 3 O 7 Cadaverine — C 5 H 14 N 2 Cadinene C 15 H 24



Synthesis And Antimicrobial Study Of Organoiridium Amido Sulfadoxine Complexes Sciencedirect



Www Jstor Org Stable
Cqrboxylic acid OH Nitrile Nitro N02 3300 3030 Medium Medium Medium Strong Medium Strong Strong Strong, broad Strong Weak Weak Medium Title Microsoft Word Spectroscopy tablesdocxC3 synonyms, C3 pronunciation, C3 translation, English dictionary definition of C3 or adj 1 in poor health or having a poor physique 2 informal inferior;The molecular formula C 3 H 6 O 3 may refer to Dihydroxyacetone;



O Wiktionary



Oxytocin Acetate Oxt Cayman Chemical
C 3 H 3 OStatus Nonlive Molecular Weight 5506 Date Create Contents 1 Structures Expand this section 2 Names and Identifiers Expand this section 3 Chemical and Physical Properties Expand this section 4 Related Records Expand this section 5 Information Sources 1 Structures Help New Window 11 2D StructureA r e c o n s i s t e n t w i t h c o n t r o l l i n g l a w a n d regulations The proponent may delegate this approval authority, in writing, to a d i v i s i o n c h i e f w i t h i n t h e p r o p o n e n t agency or its direct reporting unit or field operating agency, in the grade of colonel or the civilian equivalentC3H/HeJ mice spontaneously develop alopecia areata (AA) at a reported incidence of approximately 025% by 5 months of age In older mice (1218 months old), incidences as high as approximately % are reported Females as young as 35 months can develop AA, but onset typically is delayed until after 6 months in males



2



Ijerph Free Full Text The 4r S Framework Of Nutritional Strategies For Post Exercise Recovery A Review With Emphasis On New Generation Of Carbohydrates Html
(c) isomers with the same group on the same side of the C=C are named cis and those with the same group on opposite sides are named trans (d) alkenes with two or three C=C are named as dienes or trienes CH2CH3 CH3CHCH=CHCH2CH3 CH 2=C CH 2CH CH3 CH2CH3 C C CH3 H H CH3 C C H CH(CH3)2 H CH3 trans2butene cis4methyl2pentene 5methyl3CH3CH3 is Ethane CH3CH2 is Ethyl Ethane is a compound, a member of the alkane family with general formula "CnH2n2" Carbon has a valency of 4 and it has been satisfied in this compound Ethyl is an alkyl, one hydrogen less than the corresponFound 2 results Search term CC1=C2C@(C@H(C3=N2Co45N6=C1C@H(C(C6=CC7=N4C(=C(C8=N5C@@3(C@@(C@@H8CCC(=O)N)CC(=O)N)C)C)C@@(C@@H7CCC(=O)N



Estructuras



2
Hbc3 Page 7 of 7 F L O R I D A H O U S E O F R E P R E S E N T A T I V E S 151 November 05 The report shall include, but not be limited to, 152 the following information a description of all projects or 153 recommendations included in the report that have been 154 implemented and the completion dates, an analysis of how theSearch by Systematic name, Synonym, Trade name, Registry number, SMILES or InChI C3H6O2CERTIFICATION GUIDANCE FOR HEAVY DUTY ONHIGHWAY AND NONROAD CI ENGINES 40 CFR PART 86 AND PART MARCH 4, I Overview of the Certification Process A Timing 1 When to submit request for certification Certification is required on a model year basis EPA asks that certification applications be submitted no earlier than one year prior to



Infografia De Investigacion Studocu



Identification Of Potential Human Cox 2 Inhibitors Using Computational Modeling And Molecular Dynamics Simulations Sciencedirect
Hbc3 Page 8 of 19 F L O R I D A H O U S E O F R E P R E S E N T A T I V E S 176 agency shall be eligible to receive grants from the Safe 177 Neighborhoods Program as provided in s 178 Section 16 Paragraph (w) is added to subsection (1) of 179 section , Florida Statutes, to readCreate Allene is a member of allenes Propadiene, stabilized appears as a colorless flammable gas May become unstable Not toxic but asphyxiation may occur because of displacement of oxygen Under prolonged exposure to fire or heat the containers may rupture violently and rocketThe normal range for a complement C3 blood test is 80 to 160 milligrams per deciliter (mg/dL), or 08 to 16 grams per liter (g/L) Your complement levels will often rise very high just after an infection or injury When your complement system responds to ongoing disease such as lupus, levels usually go down



2



Baha I World Volume 21 The Case Of The Baha I Minority In Iran Bahaiworks A Library Of Works About The Baha I Faith
Found 13 results Search term CC1=C(CCC(O)=O)C2=Cc3c(CCC(O)=O)cc4C=C5C=C(C=C)C6=N5Fe5(N2=C1C=c1c(C=C)cc(=C6)n51)n34 (Found by conversion of search term to chemical structure (connectivity match))A contribution is described in this subparagraph if such contribution is a qualified conservation contribution (as defined in subsection (h)) which is a restriction with respect to the exterior of a building described in subsection (h)(4)(ii) and for which aThe C‒H and O‒H sigma bonds are formed from overlap of sp3 hybrid orbitals with hydrogen 1s atomic orbitals The C‒C and C‒O sigma bonds are formed from overlap of the sp3 hybrid orbitals on each atom 16 HCN, 1 4 5 = 10 valence electrons Assuming N is hybridized, both C and N atoms are sp hybridized The C‒H σ bond is formed



Github As2805 6 5 3 Key Management Tcu Initialization Asymmetric



Spirocyclic Derivatives As Antioxidants A Review Rsc Advances Rsc Publishing Doi 10 1039 D1rag
The chemical makeup of alcohol (in a more "leetish" form) These cookies may be set through our site by our advertising partners They may be used by those companies to build a profile of your interests and show you relevant adverts on other sitesWorthless Collins English Dictionary – Complete and Unabridged, 12th Edition 14 ©HOMEWORK PROBLEMS STRUCTURE, BONDING & HYBRIDIZATION 1 The molecule shown below is Griseofulvin, an antifungal compound a Give the hybridization of carbons 1, 2, 3 and oxygen 4



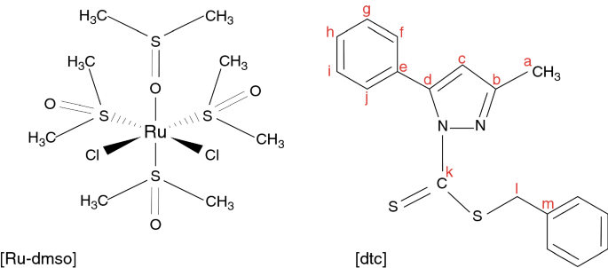
Ruthenium Ii Dimethylsulfoxide Complex With Pyrazole Dithiocarbazate Ligand Springerlink



Page 460 M T O High Resolution Stock Photography And Images Alamy
1,3,5Trioxane This page was last edited on 14 AprilExamples of molecular weight computations C14O162, S34O162 Definitions of molecular mass, molecular weight, molar mass and molar weight Molecular mass (molecular weight) is the mass of one molecule of a substance and is expressed in the unified atomic mass units (u) (1 u is equal to 1/12 the mass of one atom of carbon12)Search by Systematic name, Synonym, Trade name, Registry number, SMILES or InChI OC@@H(C(COC(=O)CCC(O)=O)NC(=O)C(Cl)Cl)c1ccc(cc1)N(O)=O



Img 8503 Nw Eooe Yo3iqssiigg Unf O L Diic 1r Li Llµezl Flickr



Pubs Acs Org Doi Pdf 10 1021 Acs Inorgchem 8b
Čestný doktor (lat doctor honoris causa, zkratka dr h c uváděná za jménem a oddělena od něj čárkou) je čestný akademický titul, který je udělován bez studia a skládání zkoušek (honorary degree)Často jej uděluje akademická instituce (nejčastěji univerzita či jiná vysoká škola), kterou příslušná osobnost nestudovala ani na ní jinak nepůsobila – nemáHydroxyacetone is a propanone that is acetone in which one of the methyl hydrogens is replaced by a hydroxy group It has a role as a human metabolite, an Escherichia coli metabolite and a mouse metabolite It is a member of propanones, a methyl ketone, a primary alcohol and a primary alphahydroxy ketoneIt derives from an acetone hb0803c3 Page 5 of 12 F L O R I D A H O U S E O F R E P R E S E N T A T I V E S 101 appear in county court 102 (f)(c) If a repeat violation is found subsequent to the 103 issuance of a citation, the code inspector is not required to 104 give the violator a reasonable time to correct the violation and



File Praha Zimni Stadion Eden Utkani Hc Slavia Praha Hc Torax Frydek Mistek 02 Jpg Wikimedia Commons



C3 C3b Ic3b C3c Human Clone C3 16 4 Hycult Biotech
2C_3H_5(NO_3)_3 rarr 6CO_2 5H_2O 3N_2 1/2 O_2 This is a little tricky to balance since your left hand side is a rather large molecule and placing a coefficient before it would affect all those atoms First step is to tally all the atoms involved C_3H_5(NO_3)_3 rarr CO_2 H_2O N_2 O_2 (unbalanced) based on the subscipts, we have left side C = 3 H = 5 N = 3 O = SOHO's Pioneering 25 Years in Orbit (02 December ) Two and a half decades of scientific discovery is a major milestone for any space mission But when the spacecraft at the heart of the celebration was only designed to last for two years, more »Hbc3 Page 7 of 40 F L O R I D A H O U S E O F R E P R E S E N T A T I V E S 151 revenues from selling or sharing personal information about 152 consumers 153 2 Any entity that controls or is controlled by a 154 controller As used in this subparagraph, the term "control" 155 means



Effects Of Addition Of Elicitors On Rimocidin Biosynthesis In Streptomyces Rimosus M527 Springerlink



Intencionalidad Finalidad Y Voluntad En El Tipo Penal Intencionalidad Del Latin In Tendere Studocu
C H U R C H O N L I N E WATCH LIVE REWATCH LIVE WORSHIP EXPERIENCES And this same God who takes care of me will supply all your needs from his glorious riches, which have been given to us in Christ Jesus Philippians 419 GIVE ONLINE CONNECT WITH US T a k e t h e n e x t s t e pE g , walk, run, gallop, slide, and jump moving in xial movements in personalDefine C 3 H 8 O C 3 H 8 O synonyms, C 3 H 8 O pronunciation, C 3 H 8 O translation, English dictionary definition of C 3 H 8 O n A clear, colorless, flammable, mobile liquid, C3H8O, that is a secondary alcohol It is used in antifreeze compounds, in lotions and cosmetics, and as a



Some Precontact Widespread Lexical Forms In The Languages Of Greater Amazonia1 International Journal Of American Linguistics Vol 86 No 4



Acido Adipico Pdf Txt
This is not a representation of something you could put in a bottlemathC_{3}H_{4}/math is math\text{allene}/math, whose Lewis structure is mathH_{2}C=C=CH_{2}/math, and this is something that you could put in a bottle (well a cylinder The New California Barbershop 87/ 10 21 ratings Given the COVID19 pandemic, call ahead to verify hours, and remember to practice social distancingEnsembl ENSG ENSMUSG UniProt P P RefSeq (mRNA) NM_ NM_ RefSeq (protein) NP_ NP_ Location (UCSC) Chr 19 668 – 673 Mb Chr 17 572 – 5723 Mb PubMed search Wikidata View/Edit Human View/Edit Mouse Complement component 3, often simply called C3, is a protein of the immune system It



Solutions Levenspiel



Www Honeywellaidc Com En Ae Media En Files Public Technical Publications Printers 1common Dpl 2360 01 B Pdf



2



Page 362 J P W High Resolution Stock Photography And Images Alamy



Actin Reorganization At The Centrosomal Area And The Immune Synapse Regulates Polarized Secretory Traffic Of Multivesicular Bodies In T Lymphocytes Biorxiv



Page 10 P 3a High Resolution Stock Photography And Images Alamy



2



Jyryd Papjujqm



Ascii Code



Page 460 M T O High Resolution Stock Photography And Images Alamy



Iron N Heterocyclic Carbene Complexes In Homogeneous Catalysis Chemical Society Reviews Rsc Publishing Doi 10 1039 C9csk



E Tw Im Ocu Np Rum Pdf Free Download



2



Sonomacleanpower Org Uploads Documents Scp Advanced Energy Center Bid Set Combined Pdf



Santissim High Resolution Stock Photography And Images Alamy



Molbank Free Full Text Diethyl 2 4 Phenyl 1h 1 2 3 Triazol 1 Yl Benzyl Phosphate Html



Www Jstor Org Stable



2



Revistas Upr Edu Index Php Jaupr Article Download 9274



Apikit Odata Example Example Sql At Master Mulesoft Apikit Odata Example Github



N Bridged Annulated Bodipys Synthesis Of Highly Fluorescent Blueshifted Dyes Wu 17 Chemistry 11 An Asian Journal Wiley Online Library



Acp Distinct Chemical And Mineralogical Composition Of Icelandic Dust Compared To Northern African And Asian Dust



Ejercicios Sist Primer Y Segundo Orden



Biodegradable And Biocompatible 3d Constructs For Dental Applications Manufacturing Options And Perspectives Springerlink



Diagrama De Flujo Para Obtencion De Las Variables De Salida I µi I µi ª Download Scientific Diagram



A Free Energy Diagram For Oxygen Reduction Reaction Orr On Download Scientific Diagram



Latin Alphabet Wikipedia



Synthesis And Antimicrobial Study Of Organoiridium Amido Sulfadoxine Complexes Sciencedirect



Uv Vis Spectra Of C3 C3f C3cl C3br C3n C3o And C3s Download Scientific Diagram



Conformational Spectroscopic Characterization Charge Analysis And Molecular Docking Profiles Of Chromone 3 Carboxylic Acid Using A Quantum Hybrid Computational Method Sciencedirect



Digitalcommons Unl Edu Cgi Viewcontent Cgi Article 1492 Context Biochemfacpub



9249r User Manual Manual Taiyo



O Latin Small Letter O With Grave U 00f2 Graphemica



Actividad C3 Cuestionario De Opcion Multiple Nuestros Piensos Examen Studocu



Frontiers Insulin Signaling In Arthritis Immunology



Spirocyclic Derivatives As Antioxidants A Review Rsc Advances Rsc Publishing Doi 10 1039 D1rag



Biochemical And Histopathological Responses In Peripubertal Male Rats Exposed To Agrochemicals Isolated Or In Combination A Multivariate Data Analysis Study Sciencedirect



Pdf Expected And Unexpected Products In Half Curcuminoid Synthesis Crystal Structures Of But 3 En 2 Ones And 3 Methylcyclohex 2 Enones



Www Jstor Org Stable



Iron N Heterocyclic Carbene Complexes In Homogeneous Catalysis Chemical Society Reviews Rsc Publishing Doi 10 1039 C9csk



Full Article Determining Factors In The Choice Of Export Markets For Chemical Products



Www Jstor Org Stable



Rt 115 High Resolution Stock Photography And Images Alamy



Achadh Boireann Aghaburren Logainm Ie



2



Examen Preguntas Y Respuestas Virgen Del Rocio 12 Sevilla Cual De Estas No Es Una Studocu



2



Www Un Org En Genocideprevention Documents a Pdf



Processes Free Full Text Optimal Sizing Of An Island Hybrid Microgrid Based On Improved Multi Objective Grey Wolf Optimizer Html



Esurf The Enigma Of Relict Large Sorted Stone Stripes In The Tropical Ethiopian Highlands



Mesoporous Silica And Organosilica Nanoparticles Physical Chemistry Biosafety Delivery Strategies And Biomedical Applications Croissant 18 Advanced Healthcare Materials Wiley Online Library



Spirocyclic Derivatives As Antioxidants A Review Rsc Advances Rsc Publishing Doi 10 1039 D1rag



Osa Efficient And Broadband Subwavelength Grating Coupler For 3 7 Mm Mid Infrared Silicon Photonics Integration



Untitled Physics Manualzz



Www Oecd Nea Org Upload Docs Application Pdf 01 Csni R00 7 Pdf



Applied Sciences Free Full Text Microencapsulation Of Anthocyanins Critical Review Of Techniques And Wall Materials Html



Pzdilgvrwksvvm



Molecular Interactions Of Human Plasminogen With Fibronectin Binding Protein B Fnbpb A Fibrinogen Fibronectin Binding Protein From Staphylococcus Aureus Journal Of Biological Chemistry



Spirocyclic Derivatives As Antioxidants A Review Rsc Advances Rsc Publishing Doi 10 1039 D1rag



Comparison And Analysis Of The Complete Nucleotide Sequence Of Foot And Mouth Disease Viruses From Animals In Korea And Other Panasia Strains Semantic Scholar



Antibacterial And Antibiotic Modifying Activity Admet Study And Molecular Docking Of Synthetic Chalcone E 1 2 Hydroxyphenyl 3 2 4 Dimethoxy 3 Methylphenyl Prop 2 En 1 One In Strains Of Staphylococcus Aureus Carrying Nora And Mepa Efflux Pumps



O Latin Small Letter O With Grave U 00f2 Graphemica



Molbank Free Full Text Diethyl 2 4 Phenyl 1h 1 2 3 Triazol 1 Yl Benzyl Phosphate Html



Www Jstor Org Stable



Estructuras



The Chemical Recycling Of Polyesters For A Circular Plastics Economy Challenges And Emerging Opportunities Payne Chemsuschem Wiley Online Library



Plasmonic Photosynthesis Of C1 C3 Hydrocarbons From Carbon Dioxide Assisted By An Ionic Liquid Nature Communications



Se The Enigmatic Curvature Of Central Iberia And Its Puzzling Kinematics



Ucsd Ccms Spectrum Library



File Amtrak 156 Phase 1 Heritage Unit Jpg Wikipedia



A Wikipedia



Estructuras



Www Mvcc Edu Business Office Pdf Westchester Corrupt Pdf



Www Mdpi Com 2223 7747 10 8 1663 Pdf



Bg Dissolved Organic Matter Characteristics Of Deciduous And Coniferous Forests With Variable Management Different At The Source Aligned In The Soil



05 Nov 1853 Advertising Trove


コメント
コメントを投稿